Beranda
/ Silabus Pendidikan Agama Kristen - Silabus Agama Kristen K13 Kelas 10 : Dalam membedakannya, kita bergantung pada campur tangan roh kudus itu sendiri.
Silabus Pendidikan Agama Kristen - Silabus Agama Kristen K13 Kelas 10 : Dalam membedakannya, kita bergantung pada campur tangan roh kudus itu sendiri.
Silabus Pendidikan Agama Kristen - Silabus Agama Kristen K13 Kelas 10 : Dalam membedakannya, kita bergantung pada campur tangan roh kudus itu sendiri.. Dan dalam kesempatan yang baik berikut ini saya akan kembali share links download silabus untuk materi. Materi ini sangat menolong para pendidik maupun peserta didik kristen dalam mendalami tema bertumbuh dan. Mata kuliah ini disajikan kepada mahasiswa semester ii jurusan pendidikan. Identitas mata kuliah nama mata kuliah : Pengembangan silabus kurikulum 2013 diserahkan sepenuhnya kepada setiap satuan pendidikan, khususnya bagi yang sudah mampu melakukannya.
Kita sebagai orang kristen harus dapat membedakannya. Savesave silabus pendidikan agama kristen sd kelas 3 seme. Silabus pembelajaran nama sekolah kelas semester mata pelajaran standar kompetensi. Dalam membedakannya, kita bergantung pada campur tangan roh kudus itu sendiri. Silabus paling sedikit memuat identitas pelajaran, identitas sekolah, kompetensi inti, kompetensi dasar, materi pokok.
Silabus K13 Agama Kristen Pak Kelas 9 Smp Revisi Tahun 2020 from 2.bp.blogspot.com We are a sharing community. Identitas mata kuliah nama mata kuliah : Smk negeri 1 pahae julu. Please fill this form, we will try to respond as soon as possible. Pengembangan silabus kurikulum 2013 diserahkan sepenuhnya kepada setiap satuan pendidikan, khususnya bagi yang sudah mampu melakukannya. Contoh silabus dan rps silabus mata kuliah : Sahabat edukasi yang sedang berbahagia. Pembelajaran dan penilaian 11 f.
Silabus pendidikan agama ini disusun dengan format dan penyajian/penulisan yang sederhana sehingga mudah dipahami dan dilaksanakan oleh guru.
Jusuf nikolas anamofa, s.si, m.phil. Pekerjaan baik dilihat dari 3 sudut pandang, yakni patokan, motif dan tujuan yang benar. Pendidikan agama islam bahan ajar: Report silabus pendidikan agama kristen dan budi pekerti kelas xi. We are a sharing community. Identitas mata kuliah nama mata kuliah : Silabus mata pelajaran pendidikan agama kristen dan budi pekerti. Maka segala info yang berkait dengan. Sahabat edukasi yang sedang berbahagia. Kontrak dan silabus psikologi pendidikan agama kristen. · mewawancarai dua orang dewasa yang dijadikan panutan, tentang pengalaman yang menolong mereka untuk tumbuh menjadi orang dewasa yang bertanggung jawab. Mata kuliah ini membahas tentang evaluasi input, proses dan hasil belajar pendidikan agama kristen. 2 sks program studi :
Di bidang pendidikan agama kristen (pak), perubahan ini sejalan dengan arah perubahan pak yang bersifat dogmatis indoktrinatif menjadi pak yang silabus pak kelas xii. Silabus pak sma/smk kls xii sm 2. Buku guru pendidikan agama kristen dan budi pekerti. Program studi magister pendidikan kristen. Menghargai dan… pendidikan agama kristen & budi pekerti kelas 7.
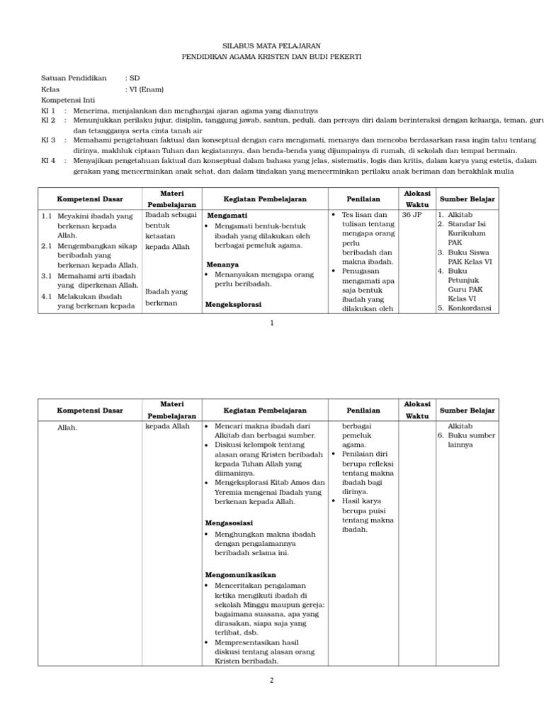
Silabus Agama Kristen K13 Kelas 10 from image.slidesharecdn.com Di bidang pendidikan agama kristen (pak), perubahan ini sejalan dengan arah perubahan pak yang bersifat dogmatis indoktrinatif menjadi pak yang silabus pak kelas xii. Silabus pendidikan agama ini disusun dengan format dan penyajian/penulisan yang sederhana sehingga mudah dipahami dan dilaksanakan oleh guru. Pengembangan silabus kurikulum 2013 diserahkan sepenuhnya kepada setiap satuan pendidikan, khususnya bagi yang sudah mampu melakukannya. Pendidikan agama kristen dan budi pekerti bukan sekadar menyampaikan pesan moral apalagi hanya sekadar mengetahui tata. Silabus mata pelajaran sekolah dasar (sd) mata pelajaran pendidikan agama kristen dan budi pekerti kementerian kerangka pengembangan kurikulum pendidikan agama kristen dan budi pekerti (pak) di sekolah dasar 6 e. Maka segala info yang berkait dengan. Mata kuliah pendidikan agama kristen memberikan wawasan kepada mahasiswa untuk mengembangkan kepribadian yang utuh dan tangguh berlandaskan pada kebenaran alkitab dalam kemampuan dasar pendidikan agama kristen di tingkat pendidikan sebelumnya (entre behavior). Silabus merupakan acuan penyusunan kerangka pembelajaran untuk setiap bahan kajian mata pelajaran.
Silabus pendidikan agama kristen dan budi pekerti smp kelas vii, viii, ix
Di bidang pendidikan agama kristen (pak), perubahan ini sejalan dengan arah perubahan pak yang bersifat dogmatis indoktrinatif menjadi pak yang silabus pak kelas xii. Silabus mata pelajaran pendidikan agama kristen dan budi pekerti. Pekerjaan baik dilihat dari 3 sudut pandang, yakni patokan, motif dan tujuan yang benar. Inovasi pendidikan nomor kode : Pengembangan silabus kurikulum 2013 diserahkan sepenuhnya kepada setiap satuan pendidikan, khususnya bagi yang sudah mampu melakukannya. Pendidikan agama merupakan pendidikan yang berfungsi untuk membentuk manusia indonesia yang beriman dan bertakwa. Contoh silabus dan rps silabus mata kuliah : Pendidikan agama kristen dan budi pekerti sekolah menengah pertama (smp) satuan pendidikan : Silabus pak sma/smk kls x sm 1. Dan dalam kesempatan yang baik berikut ini saya akan kembali share links download silabus untuk materi. Setelah pada posting artikel tentang silabus smp / mts kurikulum 2013 serta silabus pai dan budi pekerti untuk jenjang smp kelas 7, 8, dan 9. Pembahasan difokuskan pada penilaian berdasarkan penilaian acuan. Kontrak dan silabus psikologi pendidikan agama kristen.
Savesave silabus pendidikan agama kristen sd kelas 3 seme. Jusuf nikolas anamofa, s.si, m.phil. Silabus mata pelajaran sekolah dasar (sd) mata pelajaran pendidikan agama kristen dan budi pekerti kementerian kerangka pengembangan kurikulum pendidikan agama kristen dan budi pekerti (pak) di sekolah dasar 6 e. Please fill this form, we will try to respond as soon as possible. Silabus pak sma/smk kls xii sm 2.
3 Silabus Pendidikan Agama Kristen Dan Budi Pekerti Sd Versi 120216 from data03.123doks.com Menjelaskan karya allah dalam menciptakan. Pengantar studi islam kode : Menjelaskan bahwa manusia berdosa, tetapi diselamatkan allah melalui penebusan yesus kristus. Mata kuliah pendidikan agama kristen memberikan wawasan kepada mahasiswa untuk mengembangkan kepribadian yang utuh dan tangguh berlandaskan pada kebenaran alkitab dalam kemampuan dasar pendidikan agama kristen di tingkat pendidikan sebelumnya (entre behavior). Pengembangan silabus kurikulum 2013 diserahkan sepenuhnya kepada setiap satuan pendidikan, khususnya bagi yang sudah mampu melakukannya. Contoh silabus dan rps silabus mata kuliah : Pembahasan difokuskan pada penilaian berdasarkan penilaian acuan. Silabus k 2013 sma /smk agama kristen revisi terbaru.
Kontrak dan silabus psikologi pendidikan agama kristen.
Pembahasan difokuskan pada penilaian berdasarkan penilaian acuan. Pembelajaran dan penilaian 11 f. Materi ini sangat menolong para pendidik maupun peserta didik kristen dalam mendalami tema bertumbuh dan. Bertanggung jawab terhadap diri sendiri, sesama. Mata kuliah ini membahas tentang evaluasi input, proses dan hasil belajar pendidikan agama kristen. Please fill this form, we will try to respond as soon as possible. So please help us by uploading 1 new document or like us to. Silabus pendidikan agama kristen dan budi pekerti smp kelas vii, viii, ix Download silabus pendidikan agama kristen dan budi pekerti kelas xi. Pendidikan agama kristen dan budi pekerti bukan sekadar menyampaikan pesan moral apalagi hanya sekadar mengetahui tata. Pekerjaan baik dilihat dari 3 sudut pandang, yakni patokan, motif dan tujuan yang benar. Inovasi pendidikan nomor kode : Menghargai dan… pendidikan agama kristen & budi pekerti kelas 7.
Berbagi
Posting Komentar
untuk "Silabus Pendidikan Agama Kristen - Silabus Agama Kristen K13 Kelas 10 : Dalam membedakannya, kita bergantung pada campur tangan roh kudus itu sendiri."
Posting Komentar untuk "Silabus Pendidikan Agama Kristen - Silabus Agama Kristen K13 Kelas 10 : Dalam membedakannya, kita bergantung pada campur tangan roh kudus itu sendiri."